Heat Transfer
Heat (thermal energy) is energy in transit which occurs as a result of a temperature gradient or difference. This temperature difference is thought of as a driving force that causes heat to flow.
There are three different ways of which heat can transfer:
i) Conduction - transfer of heat by direct contact of particles of matter
ii) Convection - transfer of heat through a moving fluid at various temperature
iii) Radiation - transfer of heat through an empty space
Temperature of an object can be measured using varius apparatus:
- Thermometer
- Thermocouple
- Thermistor
- Infrared thermometers
- Optical pyrometer
Conduction
A temperature gradient within a homogeneous substance results in an energy transfer rate within the medium can be calculated using Fourier's Law:
![]()
where
Q - heat transfer (W) A - area (m2)
q - heat flux (Wm-1) T - temperature (K)
k - thermal conductivity (Wm-1K-1) x - distance (m)
i) Multi-layered wall - The resistance network analogy

Can be modelled as:

As the system is in steady state and no internal heat generated, the heat flow enter and exit each layer are equal:

ii) Polar coordinates

iii) Multidimensional conduction - The general conduction equation
Consider energy conducting throught a cube:

Rate of energy conducted into the system:
![]()
Rate of energy conducted out of the system:
![]()
Rate of energy generated inside the system:
![]()
Rate of energy stored inside the system:
![]()
Rate of heat conducted into the system + Rate of heat generated in the system = Rate of heat conducted out of the system + Rate of heat accumulated in the system

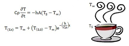
Convection
Newton's Law of cooling - the rate of heat loss of a body is proportional to the difference in temperatures between the body and its surroundings
![]()
where
Q - heat transfer (W) T - temperature(K)
h - heat transfer coefficient (Wm-2K-1)
i) Time dependent cooling by natural convection

ii) Forced convection heat transfer
- Boundary layer:

- Reynolds Number:

where
Re - Viscous force v - Kinematic viscosity (m2s-1)
L - Characteristic length (m) μ - Dynamic viscosity (kgm-1s-1)
U - Free stream velocity (ms-1) ρ - Fluid density (kgm-3)
- Prandit number:
![]()
where
v - Kinematic viscosity (m2s-1) α - Thermal diffusivity (m2s-1)
- Nusselt number:
![]()
where
h - heat transfer coefficient (Wm-2K-1) L - Characteristic length (m)
k - Thermal conductivity (Wm-1s-1)

Radiation
- The transfer of energy by electromagnetic waves
- All objects emit certain amount of thermal radiation
- There is a thermal energy component to all electromagnetic radiation - its level depends on the temperature of the body
- No medium is required and the energy transfer is highly dependent on temperature
Properties of radiation:

Black body is an ideal emitter and receiver (α=1)
Stefan-Boltzmann Law:

where
Q - Heat radiated (W) σ - Stefan-Boltzmann constant (Wm-2K-4)
A - Surface area (m2) T - Body temperature (K)
A grey body is a better approximation of real surfaces, it inviles the value ε - emissivity:

Got a smartphone and want to visit us on the go?
https://m.larona.co/

